ANÁLISE DE PARÂMETROS FLÚVIOMORFOMÉTRICOS NA REGIÃO DO PARQUE NACIONAL DA CHAPADA DIAMANTINA (BA) PARA DETECÇÃO DE POSSÍVEIS DEFORMAÇÕES NEOTECTÔNICAS EM ESTRUTURAS ANTIGAS

Autores

  • Ana Cláudia Mendes Cotrin UnG
  • Mario Lincoln De Carlos Etchebehere UnG
  • Fabio Costa Casado UnG

Resumo

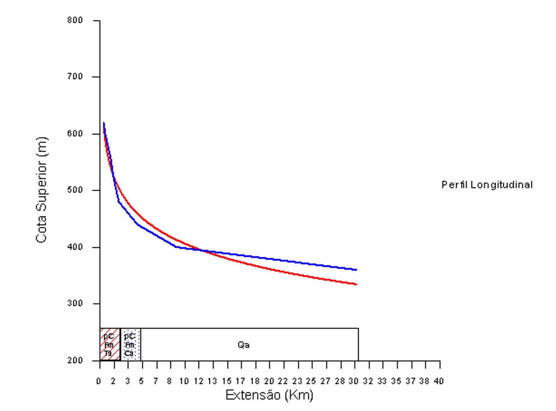
O estudo de parâmetros de morfometria fluvial apresenta um grande potencial para a detecção e a caracterização de deformações neotectônicas, já que os cursos d’água são considerados os elementos mais sensíveis a deformações da crosta, respondendo de imediato a processos tectônicos, mesmo àqueles de pequena escala e/ou magnitude. A área de estudos abrange a Antiforma de Lençóis, Parque Nacional da Chapada Diamantina (BA), estrutura que se estende na direção aproximada NS, com uma área de 80 X 20-30 km, entre as localidades de Afrânio Peixoto e Mucugê, Os objetivos do presente estudo são: (1) testar o comportamento neotectônico do Anticlinal do Pai Inácio, Parque Nacional da Chapada Diamantina, configurando-o como ativo (hipótese H1) ou inativo (hipótese H0); (2) caracterizar o quadro neotectônico da área de estudo, com base no estudo de parâmetros fluviomorfométricos bem conhecidos na literatura (e.g., estudo de perfis longitudinais de cursos d’água, levantamento de índices RDE – Relação Declividade vs. Extensão – regionais e por segmentos de drenagem); e (3) cotejar o quadro de anomalias fluviomorfométricas com as características geomorfológicas e com o substrato geológico da área de estudo, buscando interpretar o significado das principais feições anômalas e sua possível influência no relevo e na distribuição dos depósitos sedimentares mais jovens. Os resultados alcançados mostram que a área da Anticlinal do Pai Inácio apresenta numerosas anomalias fluviomorfométricas, tanto de RDE como de perfil longitudinal. Ao longo de seu ápice, predominam áreas soerguidas e concentrações localizadas de anomalias de RDE; nos flancos, passam a predominar áreas subsidentes. O exame de imagens aéreas mostra expressivas famílias de lineamentos, que podem representar descontinuidades estruturais rúpteis (falhas e/ou feixes de fraturas), separando terrenos com solos raros, pedregosos, de terrenos com solos mais espêssos, ensejando a possibilidade de representarem limites de blocos morfotectônicos. Interpreta-se que a hipótese H1 seja mais factível para explicar os contrastes na paisagem, em especial, a distribuição irregular das anomalias e os contrastes relativamente bruscos de terreno, aparentemente sem vínculo direto com o substrato litológico onde se instalam os talvegues.

Biografia do Autor

Ana Cláudia Mendes Cotrin, UnG

Bolsista do Programa de Iniciação Científica da Universidade Guarulhos – PIBIC/UnG

Mario Lincoln De Carlos Etchebehere, UnG

Centro de Pós-Graduação e Pesquisa (CEPPE) / Universidade Guarulhos (UnG)

Fabio Costa Casado, UnG

Laboratório de Geociências

Downloads

Publicado

22-08-2011

Como Citar

Cotrin, A. C. M., Etchebehere, M. L. D. C., & Casado, F. C. (2011). ANÁLISE DE PARÂMETROS FLÚVIOMORFOMÉTRICOS NA REGIÃO DO PARQUE NACIONAL DA CHAPADA DIAMANTINA (BA) PARA DETECÇÃO DE POSSÍVEIS DEFORMAÇÕES NEOTECTÔNICAS EM ESTRUTURAS ANTIGAS. Revista Geociências - UNG-Ser - ISSN 1981-741X (1981-7428), 9(1), 69–90. Recuperado de https://revistas.ung.br/index.php/geociencias/article/view/835

Edição

Seção

Artigos