EFLUENTE DE PISCICULTURA: ADEQUAÇÃO À LEGISLAÇÃO AMBIENTAL POR MEIO DA TECNOLOGIA DE ILHAS FLUTUANTES ARTIFICIAIS (IFAs)

Autores

  • Cacilda Thais Janson Mercante Instituto de Pesca – Agência Paulista de Tecnologia dos Agronegócios (APTA) - Secretaria de Agricultura e Abastecimento – São Paulo - SP.
  • Clóvis Ferreira do Carmo Instituto de Pesca – Agência Paulista de Tecnologia dos Agronegócios (APTA) - Secretaria de Agricultura e Abastecimento – São Paulo - SP.
  • João Alexandre Saviolo Osti Mestrado em Análise Geoambiental – UNIVERITAS UNG, Guarulhos - SP, Brasil.

DOI:

https://doi.org/10.33947/1981-741X-v19n2-4437

Resumo

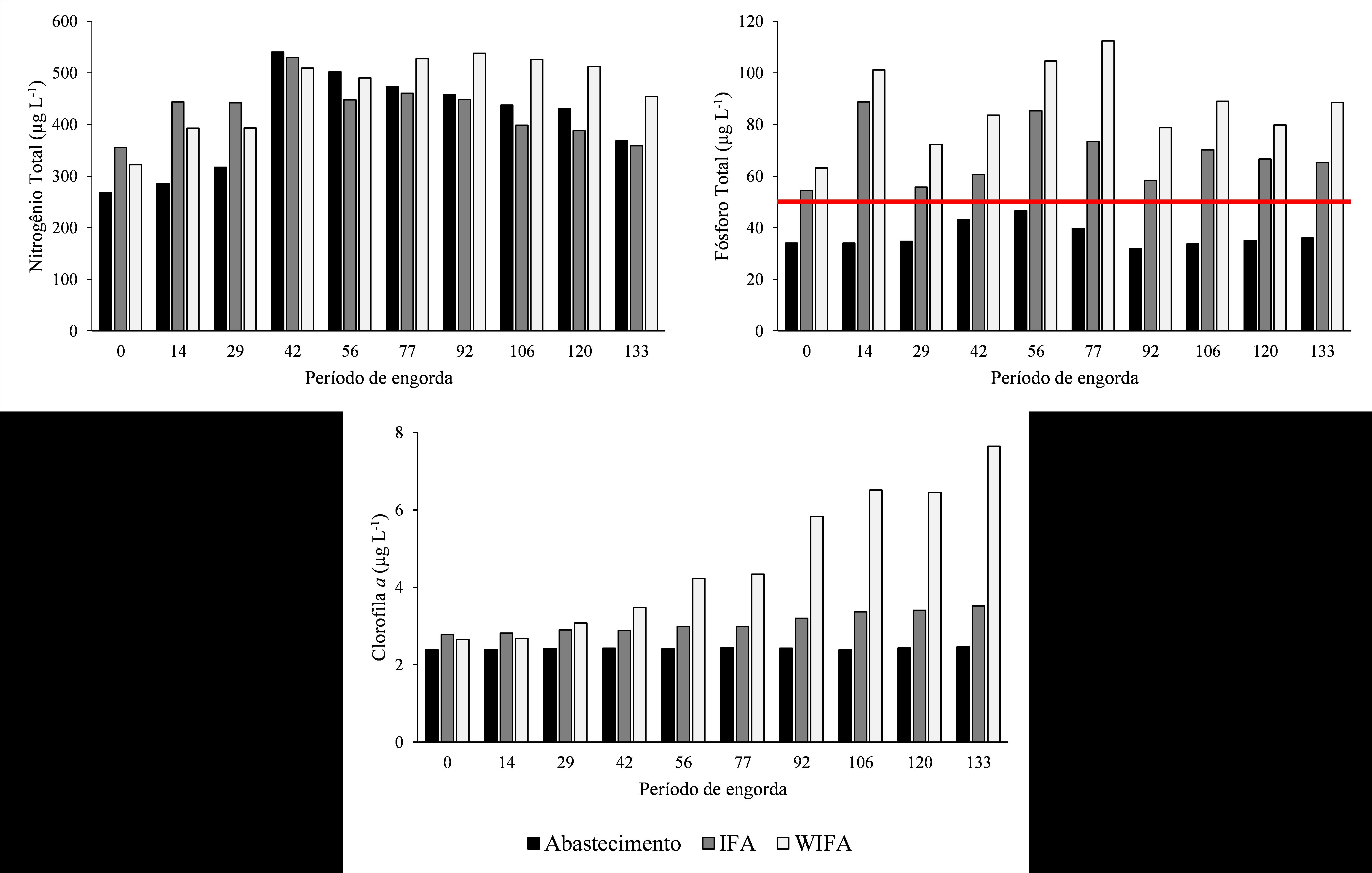
Viveiros de piscicultura geram matéria orgânica (MO) composta principalmente por nitrogênio (N) e fósforo (P) os quais são lançados, comumente, pelo efluente sem tratamento prévio ao corpo hídrico receptor. Para obtenção do licenciamento ambiental os efluentes gerados pela atividade de aquicultura devem se adequar as recomendações constantes na legislação. No Estado de São Paulo, por meio do Decreto Estadual 62.243 de 01 de novembro de 2016 dispõe-se as regras e procedimentos para o licenciamento ambiental da aquicultura paulista, promovendo ações para fortalecer e incentivar a aquicultura paulista. Diante da necessidade de regularização dos empreendimentos aquícolas, tecnologias viáveis economicamente e ambientalmente podem vir a ser opções para o produtor regularizar sua atividade. Ilhas flutuantes artificiais (IFAs) são tecnologia alternativa para tratamento de efluentes de piscicultura tendo sido demonstrada sua eficiência na retenção de nutrientes. No presente estudo se discute o papel dessas IFAs com relação à adequação do efluente de tilápicultura à legislação ambiental vigente. Para tanto, seis viveiros de engorda de tilápias-do-Nilo com e sem IFAs foram utilizados nesta pesquisa. Os resultados demonstraram que dentre as variáveis analisadas os níveis de fósforo não atingiram concentrações para adequar a legislação ambiental vigente, ou seja, inferiores à 50 μg L-1. A aplicação de boas práticas de manejo com melhor conversão alimentar e controle da vazão podem reduzir a sobrecarga desse elemento no sistema e com isso permitir melhor eficiência de retenção de nutrientes pelas IFAs.

Biografia do Autor

Cacilda Thais Janson Mercante, Instituto de Pesca – Agência Paulista de Tecnologia dos Agronegócios (APTA) - Secretaria de Agricultura e Abastecimento – São Paulo - SP.

Graduado em Ciências Biológicas pela Universidade Presbiteriana Mackenzie (1988), Mestrado em Ciencias Biologicas (Biologia Vegetal) pela Universidade Estadual Paulista Júlio de Mesquita Filho (1993) e Doutorado em Ecologia e Recursos Naturais pela Universidade Federal de São Carlos (2000). É Pesquisador Científico VI do Instituto de Pesca da Secretaria de Agricultura do Estado de São Paulo. Tem experiência na área de Ecologia de Ecossistemas Aquáticos, com ênfase em Qualidade da água em ambientes aquaculturais e em reservatórios, atuando principalmente nos seguintes temas: eutrofização, limnologia, manejo hídrico, avaliação de impacto ambiental de efluentes de aquicultura. Coordenadora do Grupo Intersecretarial para implantação e demarcação de Parques Aquícolas no Estado de São Paulo. Membro da Comissão Permanente de Regime Integral (CPRTI) da Área de Biologia Animal vinculada a Secretaria da Fazenda do Estado de São Paulo. Coordenadora de Projetos Fapesp

Clóvis Ferreira do Carmo, Instituto de Pesca – Agência Paulista de Tecnologia dos Agronegócios (APTA) - Secretaria de Agricultura e Abastecimento – São Paulo - SP.

Possui graduação em Química pelo Centro Universitário Fundação Santo André (1991), Mestrado em Ciências da Engenharia Ambiental pela Universidade de São Paulo ? campus São Carlos (1998) e Doutorado em Ciências da Engenharia Ambiental pela Universidade de São Paulo ? campus São Carlos (2007). Atualmente é Pesquisador Científico do Instituto de Pesca da Agência Paulista de Tecnologia dos Agronegócios (APTA), vinculada à Secretaria de Agricultura e Abastecimento do Estado de São Paulo. Tem experiência na área de: Interações hidrodinâmicas, balanço de massa de nitrogênio e fósforo, limnologia e qualidade de água em empreendimentos aquicolas.

João Alexandre Saviolo Osti, Mestrado em Análise Geoambiental – UNIVERITAS UNG, Guarulhos - SP, Brasil.

Biólogo, mestre e doutor em Aquicultura e pós-doutor em Ecologia de ecossitemas aquáticos. Atuo principalmente nos seguintes temas: como a ecologia de algas e cianobactérias planctônicas e perifíticas em reservatórios, lagos e rios, o manejo ambientalmente sustentável na aquicultura e na ecologia e dinâmica de viveiros de aquicultura.

Downloads

Publicado

15-02-2021

Como Citar

Mercante, C. T. J., do Carmo, C. F., & Osti, J. A. S. (2021). EFLUENTE DE PISCICULTURA: ADEQUAÇÃO À LEGISLAÇÃO AMBIENTAL POR MEIO DA TECNOLOGIA DE ILHAS FLUTUANTES ARTIFICIAIS (IFAs). Revista Geociências - UNG-Ser - ISSN 1981-741X (1981-7428), 19(2), 59–68. https://doi.org/10.33947/1981-741X-v19n2-4437

Edição

Seção

Artigos